¥ú ªº §é ®g ¤Î ¤Ï ®g

¥úªº§é®g¤Î¤Ï®g

¥ú¾Ç¤¸¥ó ³zÃè¡A­±Ãè

¥úÅÖ

¦â´²

·¥¤Æ¡B°¾®¶

¤z¯A¡B¶®g

¦^¤W¤@¼h

¦^­º­¶

·í¥ú¥Ñ¤@¤¶½è(§é®g²v)¶i¤J¥t¤@¤¶½è(§é®g²v)¡A¦^¨ì­ì¨Ó¤¶½èªº¥ú¡AºÙ¤§¤Ï®g¡A¶i¤J¥t¤@¤¶½è¡AºÙ¤§¬°§é®g ¡C ¥ú¤§¤Ï®g¥²¶·¿í¦u¤Ï®g©w«ß¡A¤]´N¬O

1.¤J®g¨¤µ¥©ó¤Ï®g¨¤

2.ªk½u(normal)¡A¤J®g½u(P)¡A¤Ï®g½u(Q)³B©ó¦P¤@¥­­±¤W(¤J®g­±) ¦P¼Ëªº¥ú¤§§é®g²{¶H¥²¶·¿í¦u¥q¤D¦Õ©w«ß

¤J®g¥ú©M§é®g¥ú¦ì©ó¦P¤@­Ó¥­­±¤W¡A¨Ã¥B»P¬É­±ªk½uªº§¨¨¤º¡¨¬¦p¤UÃö«Y

¡@¡@¡@¡@¡@¡@¡@

¨ä¤¤¡A©Mn¤À§O¬O¨â­Ó¤¶½èªº§é®g²v¡A©M¤À§O¬O¤J®g¨¤©M§é®g¨¤¡C¦¹Ãö«Y¥i¥Ñ¶O°¨­ì²z©Î³Ìµu¥ú®É­ì²z±o¨ì¡A¤]´N¬O¥ú½u±qPÂI¨ìQÂI©Òªá¶O®É¶¡³Ìµuªº¸ô®|(³sµ²1¡B2¼ÒÀÀ)¡C

¤U­±¬°¤@²³æªº¨Ò¤l»¡©ú§é®g©w²v©M¶O°¨­ì²z¤§¶¡ªºÃöÁp  

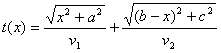
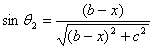
¦Ò¼{¥ú½u¥Ñ¤¶½è1(0¡Aa)¥Xµo¶i¤J¤¶½è2 (b¡A-c)¡A¬Û¥æ©óx©Ò»Ý­nªº®É¶¡¡A¨ä¸ô®|¬°¹Ï©Ò¥Ü¡A¦b¤¶½è1¤¤¥ú¤§¦æ¶i³t«×¬°, ¦b¤¶½è2¤¤¥ú¤§¦æ¶i³t«×¬°¡A¦]¦¹¯Ó®É¬° 

¦b³oùاڭ̷Qª¾¹Dªº¬O·íx­È¬°¦h¤Ö®É¯à¨Ït(x)¬°³Ì¤p¡A¥Hª¾·¥­Èªº±ø¥ó¬O¤@¦¸·L¤À¬°0¡A©Ò¥H±o¨ì 

¨ä¤¤,

¦]¦¹§Ú­Ì±o¨ì©Î

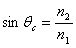
¦]¦¹§Ú­Ì¥i»¡¼ô±xªº¥q¤D¦Õ©w«ß¤D¬O¥úªuµÛ³Ì¬Ù®Éªº¸ô®|¦æ¶iªºµ²ªG¡C ·í¥ú½u¥Ñ¥ú±K¤¶½è(§é®g²v¤j)¤J®g¥ú²¨¤¶½è(§é®g²v¤p)¡A¦pªG§é®g²vµ¥©ó¬Y¨¤«×£cc(Á{¬É¨¤)®É·|µo¥Í§é®g¨¤90«×ªº±¡§Î¡AÁ{¬É¨¤¨ú¨M©ó¨â§é®g²vªº¤ñ­È  

­Y¤J®g¨¤¤j©ó£cc(Á{¬É¨¤)«h¥u³Ñ¤U¤Ï®g¥ú¡A¤]´N¬O¥þ¤Ï®g¡C 

 

 

¬ÛÃö³sµ²


1.ºû°ò¦Ê¬ì¡G§é®g²v¡B¤Ï®g©w«ß¡B¶O°¨­ì²z¡B¥q¤D¦Õ©w«ß¡C

2.®v¤jª«²z±Ð¾Ç¥Ü½d¹êÅç«Ç¡G§é®g»P¤Ï®g¡B¥þ¤Ï®g¡B¶Oº¿­ì²z¡B¥q¤D¦Õ©w«ß¡C

3.´¶ª«¥Ü½d¹êÅç¡G¤ô¥ú¸ô®|¸Ë¸m¡B¥úªº¥þ¤Ï®g¡B¥úªº¦â´²¹êÅç¡C